web counter Biaya Kuliah Universitas Jambi UNJA TA 2022-2023 - Info Biaya, Lowongan Kerja, Harga Terbaru
News Update
Loading...
-->

Header Ads

Biaya Kuliah Universitas Jambi UNJA TA 2022-2023

NAMA KAMPUS : Universitas Jambi
SINGKATAN : UNJA
ALAMAT Jl. Jambi-Muara Bulian No.KM. 15
KOTA/KABUPATEN : Muara Bungo
PROVINSI : Jambi
TELP : -
WEBSITE : www.unja.ac.id

SEJARAH Universitas Jambi

Pada tahun 1960, berdiri Akademi Perniagaan Djambi yang bernaung di bawah Jajasan Perguruan Tinggi Djambi. Yayasan ini didirikan atas prakarsa tokoh-tokoh masyarakat dan Pemerintahan Jambi waktu itu dan diketuai oleh R. SUDARSONO yang waktu itu menjabat sebagai Walikota Jambi. Selanjutnya pada tahun 1961, Akademi Perniagaan Djambi berubah menjadi Fakultas Ekonomi bersamaan dengan pendirian Fakultas Hukum, keduanya berafiliasi ke Fakultas Ekonomi Universitas Indonesia. Berbekal dengan adanya dua Fakultas tersebut, tokoh-tokoh masyarakat dan Pemerintah Daerah Jambi memperjuangkan berdirinya sebuah perguruan tinggi di Jambi melalui Panitia Persiapan Pendirian Universitas Negeri Jambi. Dengan Keputusan Menteri PTIP Nomor 105 Tahun 1962 tanggal 15 Agustus 1962 dibentuklah Panitia Persiapan Pendirian Universitas Jambi. Panitia ini diketuai oleh Kolonel M.J. SINGEDEKANE, yang pada waktu itu adalah Gubernur Provinsi Jambi.
Hasil kerja Panitia ini adalah berdirinya pada tanggal 1 April 1963 Universitas Negeri Jambi yang dikukuhkan dengan Surat Keputusan Menteri PTIP Nomor 25 Tahun 1963 tanggal 23 Maret 1963. Panitia Persiapan Pendirian Universitas Negeri Jambi kemudian membuka dua Fakultas Baru yaitu Fakultas Pertanian dan Fakultas Peternakan, sehingga pada saat diresmikan tanggal 1 April 1963, Universitas Negeri Jambi memiliki empat Fakultas yaitu Fakultas Ekonomi, Fakultas Hukum, Fakultas Pertanian dan Fakultas Peternakan. Mulai saat itu, tanggal 1 April dijadikan sebagai tanggal Dies Natalis Universitas ini.
Dalam tahun 1966 keluar Keputusan Presiden Republik Indonesia Nomor 148 yang menetapkan berdirinya Universitas ini dengan nama Universitas Jambi. Namun karena suatu dan lain hal Surat Keputusan Presiden tersebut tidak sampai di Jambi, maka selama bertahun-tahun hingga keluarnya Keputusan Presiden Nomor 41 Tahun 1982 Universitas ini bernama Universitas Negeri Jambi. Keputusan Menteri PTIP Nomor 25 Tahun 1963 di samping menetapkan berdirinya Universitas Negeri Jambi, menetapkan suatu Presidium yang bertugas memimpin Universitas ini yaitu Kolonel M.J. Singedekane selaku Gubernur Jambi yang tadinya menjabat Ketua Panitia Persiapan. Masa kepemimpinan Universitas dengan sistem presidium ini berjalan dari awal berdirinya tahun 1963 sampai tahun 1977. Sistem ini berakhir dengan diangkatnya Drs. Kemas Mohamad Saleh sebagai Pejabat Rektor oleh Menteri Pendidikan dan Kebudayaan Republik Indonesia
  • Drs. Kemas Mohamad Saleh (1977 – 1984)
  • Ir. S.B. Samad (1985 – 1994)
  • Prof.DR.Ir.H.Soedarmadi Hardjosuwignyo, M.Sc (1994 – 1999)
  • Prof.DR.Ir. Ali M.A. Rachman, M.A (1999 – 2003)
  • H. Kemas Arsyad Somad, SH, MH (2003 – 2012)
  • Prof. Dr. Drs. H. Aulia Tasman, M.Sc (2012 – 2016)
  • Prof. Johni Najwan, SH, MH, Ph.D (2016 – 2020)
  • Prof. Drs. H. Sutrisno, M.Sc., Ph.D (2020 – Sekarang)
Perkembangan fakultas Universitas Jambi
Program Diploma Kependidikan dibuka pada tahun 1980 yang kemudian berubah menjadi Fakultas Keguruan dan Ilmu Pendidikan pada tahun 1982. Bersamaan dengan itu juga Universitas Negeri Jambi berubah nama menjadi Universitas Jambi.
Keputusan Presiden Republik Indonesia Nomor 41 Tahun 1982, tentang Universitas Jambi menetapkan bahwa Universitas Jambi terdiri dari :
  • Fakultas Keguruan dan Ilmu Pendidikan
  • Fakultas Ekonomi
  • Fakultas Pertanian
  • Fakultas Hukum
  • Fakultas Peternakan
Pada tahun 1990 dibuka Program Diploma untuk pendidikan Guru Sekolah Dasar (PGSD) melalui proyek Depdikbud (Dirjen Dikti) sampai dengan tahun 1996 dan dilanjutkan programnya setelah proyek selesai oleh Fakultas Keguruan dan Ilmu Pendidikan (FKIP) meliputi program PGSD (D2), PGSLTP (D3) dan PGSM (S1).
Pada tahun 1996 sesuai dengan keputusan Dirjen Pendidikan Tinggi Depdikbud No. 211 tahun 1996 tanggal 11 Juli 1996 telah dibakukan nama Program Studi di Universitas Jambi yang terdiri dari 14 (empat belas) Program Studi yaitu :
  • Pendidikan Ekonomi
  • Pendidikan Bahasa, Sastra Indonesia dan Daerah
  • Pendidikan Bahasa Inggris
  • Pendidikan Kimia
  • Pendidikan Matematika
  • Ilmu Hukum
  • Ekonomi Pembangunan
  • Manajemen
  • Agronomi
  • Ilmu Tanah
  • Sosial Ekonomi Pertanian (Agrobisnis)
  • Penyuluhan dan Komunikasi Pertanian
  • Nutrisi dan Makanan Ternak
  • Produksi Ternak
Pada tahun 1996 itu juga dibuka Program Studi Akuntansi berdasar keputusan Dirjen Dikti No. 74/DIKTI/Kep/1996. Kemudian disusul dengan pembukaan Program Ekstensi Fakultas Ekonomi yaitu Program Studi Ekonomi Pembangunan dan Program Studi Manajemen sesuai dengan keputusan Dirjen Dikti No. 407/DIKTI/Kep/1996 dan Program Studi Akuntansi.
Tiga tahun kemudian pada tahun 1999 Fakultas Pertanian membuka 2 (dua) Program Studi yaitu Program Studi Tekonologi Hasil Pertanian dan Program Studi Hama dan Penyakit Tumbuhan melalui keputusan Dirjen Dikti No.281/DIKTI/Kep/1999 dan No.379/DIKTI/Kep/1999. Pada tahun itu juga pada Fakultas keguruan dan Ilmu Pendidikan (FKIP) dibuka Program Studi Pendidikan Fisika berdasarkan keputusan Dirjen Dikti No.159/DIKTI/Kep/1999 dan Program Ekstensi Program Studi Bimbingan Konseling sesuai SK Dirjen Dikti No. 42/DIKTI/Kep/1999.
Pada tahun 2001 dibuka lagi pada FKIP Program Studi Pendidikan Biologi dengan SK Dirjen Dikti No.01/DIKTI/Kep/2001. Menyusul setelah  itu terbit SK Dirjen Dikti tentang pembukaan Program Diploma (D3) pada Fakultas Ekonomi yaitu Program Studi Pemasaran (SK Dirjen Dikti No.110/DIKTI/Kep/2001) dan Program Studi Akuntansi (SK Dirjen Dikti No.109/DIKTI/Kep/2001).
Selanjutnya pada Fakultas Pertanian dibuka Program Studi Agribisnis Pertanian (SK Dirjen Dikti No.2597/D/T/2001) dan pada FKIP Program Studi Pendidikan Olah Raga Kesehatan (SK Dirjen Dikti No.3556/DIT/2001) dan Program Studi Pendidikan Guru Taman Kanak-Kanak (PGSD) (SK Dirjen Dikti No.3547/DIT/2001).
Dalam tahun 2001 itu juga dibuka Program Studi S2 Magister Manajemen (SK Dirjen Depdiknas RI No.51/DIKTI/Kep/2001) dan Program Studi S2 Magister Ekonomika Pembangunan (MEP) (SK Dirjen Depdiknas RI No. 2298/D/T/2001) pada Fakultas Ekonomi.
Selanjutnya pada tahun 2002, di buka Program Studi Ekstensi Fakultas Hukum berdasarkan SK Rektor No. 762 A/221/PP/2002. Setahun kemudian tepatnya tahun 2003 dibuka Program Studi Sosial Ekonomi Peternakan jenjang sarjana (S1) dengan SK Dirjen Dikti No. 1623/DIT/2003. Pada tahun 2004 dibuka program Ekstensi Program Studi Akuntansi pada Fakultas Ekonomi yang diperkuat dengan izin operasional sesuai SK Rektor No. 161/221/PP/2004. Di susul kemudian keluarnya izin Dirjen Dikti No.3142/2004 tanggal 12 Agustus 2014 tentang izin penyelenggaraan program Diploma (D3) Program Studi Perpajakan. Pada tahun yang sama Universitas Jambi menjalin kerja sama dengan Universitas Negeri Jakarta membuka program magister (S2) untuk program Magister Manajemen Pendidikan dan Pendidikan lingkungan hidup.
Pada tahun 2005 dibuka kembali Program Studi Pendidikan Dokter jenjang program Sarjana (S1) dan Pendidikan Olahraga dan kesehatan jenjang program Sarjana (S1) sesuai dengan ijin penyelenggaraan Program Studi No. 1369/D/T/2005 tanggal 10 Mei 2005. Pada tahun yang sama dibuka program studi Ilmu Hukum (S2) dengan ijin penyelenggaraan program studi No. 3126/D/T/2005 tanggal 22 September 2005.
Dengan demikian sejak berdirinya Universitas Jambi pada tahun 1963 sampai saat ini, Universitas Jambi telah memiliki : 22 (dua puluh dua) Program Studi Jenjang Sarjana (S1), 8 (delapan) Program Studi Jenjang Diploma (D2 dan D3) dan 4 (empat) Program Studi Jenjang Magister (S2) serta 5 (lima) Program Studi pada Program Ekstensi (S1).
Pada tanggal 28 Desember 2012 Pemerintah RI melalui surat Dirjen Dikti Kemdikbud No. 1598/E/T/2012 memberikan mandat kepada Universitas Jambi untuk menjalankan 15 program studi baru jenjang S1 (Pendidikan Guru PAUD, Pendidikan Bahasa Arab, Pendidikan Sejarah, Sastra Indonesia, Farmasi, Psikologi, Pemanfaatan Sumberdaya Perikanan, Sistem Informasi, Ilmu Pemerintahan , Ekonomi Islam, Teknik Pertambangan, Teknik Geologi, Biologi, Fisika dan Matematika), 5 program studi baru jenjang S2 ( Kenotariatan, Ilmu Lingkungan, Manajemen Pendidikan, Pendidikan Bahasa dan Sastra Indonesia, dan Pendidikan bahasa Inggris), dan 1 program studi baru jenjang S3, yakni Program  Studi Ilmu Hukum. Diawal tahun 2014, tepatnya pada tanggal 28 Januari kembali Pemerintah RI melalui surat Dirjen Dikti Kemendikbut No. 85/E.E2/DT/2014 memberikan mandat kepada Universitas Jambi untuk menjalankan 2 program studi baru jenjang D3 (Teknologi Hasil Perikanan dan Kedokteran Hewan), 12 Program studi jenjang S1 (Teknik Sipil, Teknik Elektro, Teknik Lingkungan, Teknik Kimia, Teknik Geofisika, Arkeologi, Ilmu Kesehatan Masyarakat, Seni Drama, tari dan Musik, Ilmu Politik, Kepelatihan Olahraga, Teknik Pertanian, dan Teknik Industri Pertanian), 6 program studi baru jenjang S2 (Agroekoteknologi, Ilmu Kependudukan dan Ketenagakerjaan, Pendidikan Kimia, Pendidikan Matematika, Pendidikan Dasar dan Pendidikan Ekonomi) dan 3 program studi baru jenjang S3 (Ilmu Ekonomi, Pendidikan MIPA dan Kependudukan).
Perkembangan Unja sebagai perguruan tinggi negeri perlu mempertimbangkan berbagai modal dasar potensi yang telah dimiliki, baik sarana fisik maupun nonfisik. Model dasar ini harus dijadikan titik berangkat pengembangan Unja masa depan dengan tetap mempertimbangkan kekuatan dan kondisi aktual lingkungan strategis yang ada.
Saat ini Universitas Jambi merupakan salah satu perguruan tinggi negeri di Provinsi Jambi yang menawarkan pendidikan tinggi dari berbagai disiplin keilmuan. Berbekal pengalaman selama lima dekade dan didukung oleh dosen dan pegawai berdedikasi tinggi, kepemimpinan yang kuat dengan komitmen yang teguh, serta kepercayaan masyarakat yang tinggi, Universitas Jambi akan senantiasa berkomitmen dan memainkan peranan penting dalam menghasilkan lulusan berkualitas demi masa depan bangsa. Komitmen jangka panjang Universitas Jambi adalah Aktif ikut ambil bagian dalam meningkatkan daya saing bangsa melalui pendidikan tinggi bermutu.
Saat ini Universitas Jambi memiliki 13 fakultas, yakni Fakultas Hukum, Fakultas Ekonomi, Fakultas Pertanian, Fakultas Peternakan, Fakultas Keguruan dan Ilmu Pendidikan, Fakultas Kedokteran dan Ilmu Kesehatan, Fakultas Sains dan Teknologi, Fakultas Teknologi Pertanian, Fakultas Ilmu Budaya, Fakultas Ilmu Sosial dan Politik, Fakultas Kehutanan, Fakultas Teknik dan Fakultas Keolahragan, serta satu program Pascasarjana. Total keseluruhan program studi aktif yang dilayani adalah 82 program studi yang terdiri atas 4 program studi jenjang S3, 19 program studi jenjang S2, 49 program studi jenjang S1, 2 program studi jenjang D4 dan 8 program studi jenjang D3.

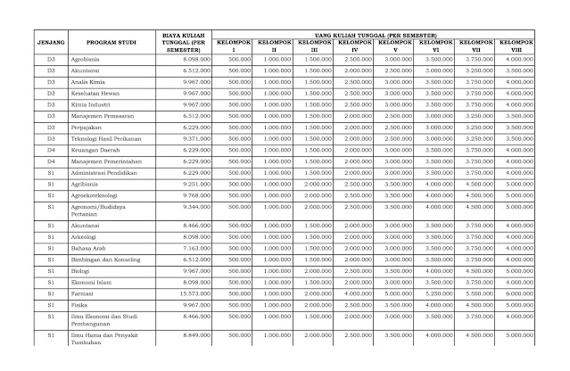
Biaya Kuliah Universitas Jambi



UANG PANGKAL
Program Studi UNJAUang Pangkal
S1 AkuntansiRp5.000.000
S1 ManajemenRp5.000.000
S1 Ilmu Ekonomi & Studi PembangunanRp5.000.000
S1 Ekonomi Rp2.000.000
S1 Ilmu HukumRp5.000.000
S1 AgroekoteknologiRp2.000.000
S1 AgribisnisRp2.000.000
S1 Ilmu PeternakanRp2.000.000
S1 Pemanfaatan Sumberdaya PerikananRp2.000.000
S1 Pendidikan Bahasa InggrisRp10.000.000
S1 Pendidikan Bahasa IndonesiaRp10.000.000
S1 Pendidikan KimiaRp3.000.000
S1 Pendidikan FisikaRp3.000.000
S1 Pendidikan BiologiRp3.000.000
S1 Pendidikan MatematikaRp3.000.000
S1 Pendidikan EkonomiRp5.000.000
S1 Pendidikan SejarahRp3.000.000
S1 Pendidikan PPKNRp3.000.000
S1 Bimbingan & KonselingRp10.000.000
S1 Pendidikan Guru PAUDRp10.000.000
S1 PGSDRp5.000.000
S1 Administrasi PendidikanRp2.000.000
S1 KedokteranRp100.000.000
S1 PsikologiRp20.000.000
S1 KeperawatanRp15.000.000
S1 Teknik PertambanganRp7.500.000
S1 Teknik GeologiRp7.500.000
S1 FarmasiRp7.500.000
S1 Sistem InformasiRp7.500.000
S1 KimiaRp2.000.000
S1 BiologiRp2.000.000
S1 FisikaRp2.000.000
S1 MatematikaRp2.000.000
S1 Teknik GeofisikaRp7.500.000
S1 Pendidikan Olahraga dan KesehatanRp5.000.000
S1 Kepelatihan OlahragaRp5.000.000
S1 Ilmu PemerintahanRp7.500.000
S1 Ilmu PolitikRp7.500.000
S1 KehutananRp3.000.000
S1 Teknologi Hasil PertanianRp7.000.000
S1 Teknologi Industri PertanianRp7.000.000
S1 Teknologi PertanianRp7.000.000
S1 Ilmu SejarahRp1.500.000
S1 Sastra IndonesiaRp1.500.000
S1 Pendidikan Bahasa ArabRp2.000.000
S1 ArkeologiRp2.000.000
S1 Seni Drama Tari & MusikRp3.000.000
S1 Teknik SipilRp10.000.000
S1 Teknik KimiaRp10.000.000
S1 Teknik ElektroRp10.000.000
S1 Teknik LingkunganRp10.000.000
S1 Ilmu Kesehatan MasyarakatRp10.000.000

Theme images by sebastian-julian. Powered by Blogger.